Introduction to PROM validation

(ii) recap + data analysis

Karl Bang Christensen

2024-06-07

Overview

  • Recap
  • Assumptions/Requirements
  • Data example
  • Analysis of DIF

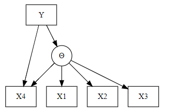
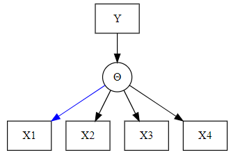
Recap

Latent (unobservable) variable \(\Theta\), items \((X_i)_{i\in I}\), categorical exogenous variable \(Y\) (gender, treatment group, age group)

Assumptions/Requirements

Latent (unobservable) variable \(\Theta\), items \((X_i)_{i\in I}\), categorical exogenous variable \(Y\) (gender, treatment group, age group)

Assumptions are (implicitly) made when we combine the items \(X_1,\ldots,X_4\) into a scale

Assumptions/Requirements

    1. \(\Theta\) unidimensional

Assumptions/Requirements ..

    1. Monotonous relationship between \(\Theta\) and \(X_i\)

Assumptions/Requirements ..

    1. Monotonous relationship between \(\Theta\) and \(X_i\)

Assumptions/Requirements ..

    1. No differential item functioning (DIF) \(X_i\perp Y|\Theta\)

Assumptions/Requirements ..

    1. No differential item functioning (DIF) \(X_i\perp Y|\Theta\)

Assumptions/Requirements ..

  • Local independence: \(X_i\perp X_j|\Theta\)

Assumptions/Requirements ..

  • Local independence: \(X_i\perp X_j|\Theta\)

Requirements/assumptions ..

Requirements/assumptions ..

  • .. are testable !
  • .. Will discuss how to test them based on observed data.

Requirements/assumptions ..

  • .. are testable !
  • .. Will discuss how to test them based on observed data.
  • Scale is valid \(\Rightarrow\) Assumptions (i)-(iv) are met
  • Assumptions (i)-(iv) are not met \(\Rightarrow\) Scale is not valid

Requirements/assumptions ..

  • .. are testable !
  • .. Will discuss how to test them based on observed data.
  • Scale is valid \(\Rightarrow\) Assumptions (i)-(iv) are met
  • Assumptions (i)-(iv) are not met \(\Rightarrow\) Scale is not valid

Will use sum score as a proxy for the unobserved \(\Theta\).

Stratified analysis

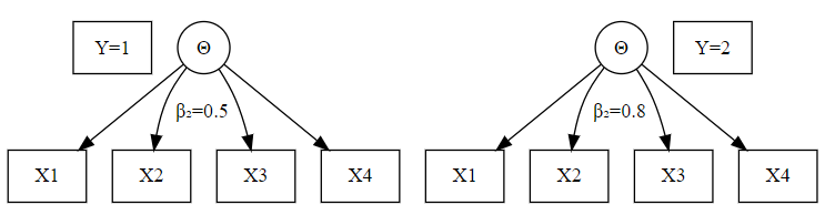
Differential item functioning (DIF)

Fundamental assumption: there is no differential item functioning (DIF). Mathematical notation: \[ X_i\perp Y|\Theta \] the item response does not depend directly on a covariate \(Y\) like gender.

Requirement of no DIF

The item response does not depend directly on a covariate \(Y\) like gender.

  • It depends only indirectly on a covariate
  • Not a problem in a language test if girls score higher than boys on an item
Holland, Wainer. Differential Item Functioning. Differential item functioning. Hillsdale, NJ: Erlbaum, 1993.

Requirement of no DIF

The item response does not depend directly on a covariate \(Y\) like gender.

  • It depends only indirectly on a covariate
  • Not a problem in a language test if girls score higher than boys on an item, but if girls systematically score higher than boys who are at the same level there is something wrong the item.
Holland, Wainer. Differential Item Functioning. Differential item functioning. Hillsdale, NJ: Erlbaum, 1993.

Example data

Symptoms in colitis ulcerosa data

Symptoms in colitis ulcerosa data

Symptoms in colitis ulcerosa data

five exogenous variables

  • interv, status, sex, age, health

Symptoms in colitis ulcerosa data

five exogenous variables

  • interv, status, sex, age, health

11 symptoms

  • Anxiety, Anger, Hopeless, Lonely, Restless, Dependen, Tense, Touchy, Shame, Depress, Crying

(3 positive states (Happy, Confiden, Goodhumo)).

Example data. Visualize

Code
count <- c(table(dat$Anxiety),
           table(dat$Anger),
           table(dat$Hopeless),
           table(dat$Lonely),
           table(dat$Restless),
           table(dat$Dependen),
           table(dat$Tense),
           table(dat$Touchy),
           table(dat$Shame),
           table(dat$Depress),
           table(dat$Crying))
Code
item <- c(rep("Anxiety", 2),
          rep("Anger", 2),
          rep("Hopeless", 2),
          rep("Lonely", 2),
          rep("Restless", 2),
          rep("Dependen", 2),
          rep("Tense", 2),
          rep("Touchy", 2),
          rep("Shame", 2),
          rep("Depress", 2),
          rep("Crying", 2))
Code
resp <- c(rep(c(0:1), 11))
Code
data <- data.frame(count, item, resp)

Example data. Visualize

Code
library(ggplot2)
ggplot(data, aes(fill=resp, y=count, x=item)) +
  geom_bar(position="fill", stat="identity")

Symptom scale example, patients

Symptom scale example, controls

Symptom scale example

It seems that the item Anxiety sticks out. Indeed patients and control differ significantly wrt. the item anxiety. Can test this

  • OR, Mantel-Häentzel
  • partial correlation
  • (ordinal) logistic regression
Holland, Thayer. Differential item performance and the Mantel-Haenszel procedure. In Wainer & Braun (Eds.), Test Validity (pp. 129-145). Hillsdale, NJ: Erlbaum, 1988
Swaminathan, Rogers. Swaminathan, Rogers, 1990. Jornal of Educational Measurement, 27, 361-370, 1990.

DIF can be visualized

Partial correlation

Partial correlation measures the degree of association between two random variables, with the effect of a set of controlling random variables removed

Can be used to explain (some of) the correlation between \(X\) and \(Y\). We can test if \(Z\) explains all of the correlation between \(X\) and \(Y\)

Partial correlation

Partial correlation measures the degree of association between two random variables, with the effect of a set of controlling random variables removed

\[ \hat{\rho}_{XY\cdot\mathbf{Z}}=\frac{N\sum_i r_{X,i}r_{Y,i}-\sum_i r_{X,i}\sum_i r_{Y,i}} {\sqrt{N\sum_i r_{X,i}^2-\left(\sum_i r_{X,i}\right)^2}~\sqrt{N\sum_i r_{Y,i}^2-\left(\sum_i r_{Y,i}\right)^2}} \]

Can be used to explain (some of) the correlation between \(X\) and \(Y\). We can test if \(Z\) explains all of the correlation between \(X\) and \(Y\)

Alternative illustration

Stratified analysis

DIF example

gender = \(Y\). We’ll look at three items Crying, Anger, Hopeless.

Code
itresp <- dat[, c(3,6:16)]
dat.compl <- itresp[complete.cases(itresp), ]
dat.compl$score <- rowSums(dat.compl)

DIF example

gender = \(Y\). We’ll look at three items Crying, Anger, Hopeless.

  • Marginal association: correlation \(X_i\sim Y\)
  • Conditional association: partial correlation \(X_i\sim Y|\)score
Code
itresp <- dat[, c(3,6:16)]
dat.compl <- itresp[complete.cases(itresp), ]
dat.compl$score <- rowSums(dat.compl)

DIF example, Crying

Marginal association - correlation \(X_i\sim Y\)

Code
obj <- cor.test(~ Crying + sex, data = dat.compl)
c(obj$estimate, obj$p.value)
         cor              
3.385557e-01 8.678151e-19 

DIF example, Crying

Marginal association - correlation \(X_i\sim Y\)

Code
obj <- cor.test(~ Crying + sex, data = dat.compl)
c(obj$estimate, obj$p.value)
         cor              
3.385557e-01 8.678151e-19 

Partial correlation \(X_i\sim Y|\)score

Code
# install.packages("ppcor", repos="http://cran.rstudio.com/")
library(ppcor)
obj <- pcor.test(dat.compl$Crying, dat.compl$sex, dat.compl$score)
obj[, c("estimate", "p.value")]
   estimate      p.value
1 0.1547597 7.927312e-05

DIF example, Crying

Marginal association - correlation \(X_i\sim Y\)

Code
obj <- cor.test(~ Crying + sex, data = dat.compl)
c(obj$estimate, obj$p.value)
         cor              
3.385557e-01 8.678151e-19 

Partial correlation \(X_i\sim Y|\)score

Code
# install.packages("ppcor", repos="http://cran.rstudio.com/")
library(ppcor)
obj <- pcor.test(dat.compl$Crying, dat.compl$sex, dat.compl$score)
obj[, c("estimate", "p.value")]
   estimate      p.value
1 0.1547597 7.927312e-05
Code
format(c(obj$estimate, obj$p.value), scientific = FALSE)
[1] "0.15475973551" "0.00007927312"

DIF example, Anger

Marginal association - correlation \(X_i\sim Y\)

Code
obj <- cor.test(~ Anger + sex, data = dat.compl)
c(obj$estimate, obj$p.value)
         cor              
0.1448186591 0.0002214976 

DIF example, Anger

Marginal association - correlation \(X_i\sim Y\)

Code
obj <- cor.test(~ Anger + sex, data = dat.compl)
c(obj$estimate, obj$p.value)
         cor              
0.1448186591 0.0002214976 

partial correlation \(X_i\sim Y|\)score

Code
obj <- pcor.test(dat.compl$Anger, dat.compl$sex, dat.compl$score)
obj[, c("estimate", "p.value")]
     estimate    p.value
1 -0.08948329 0.02304147

DIF example, Hopeless

Marginal association - correlation \(X_i\sim Y\)

Code
obj <- cor.test(~ Hopeless + sex, data = dat.compl)
c(obj$estimate, obj$p.value)
         cor              
0.1340163752 0.0006376999 

DIF example, Hopeless

Marginal association - correlation \(X_i\sim Y\)

Code
obj <- cor.test(~ Hopeless + sex, data = dat.compl)
c(obj$estimate, obj$p.value)
         cor              
0.1340163752 0.0006376999 

partial correlation \(X_i\sim Y|\)score

Code
obj <- pcor.test(dat.compl$Hopeless, dat.compl$sex, dat.compl$score)
obj[, c("estimate", "p.value")]
   estimate      p.value
1 -0.176366 6.611747e-06

Visualize DIF

Code
smalld1 <- dat.compl[(dat$sex==1),]
smalld2 <- dat.compl[(dat$sex==2),]
library(ggplot2)
ggplot(data = dat.compl, aes(x = score)) +
geom_smooth(data = smalld1, aes(x = score, y = Hopeless), color = "red") +
geom_smooth(data = smalld2, aes(x = score, y = Hopeless), color = "brown") 

Local dependence (LD)

    1. \(\Theta\) unidimensional
    1. Monotonous relationship \(\Theta\sim X_i\)
    1. No DIF \(X_i\perp Y|\Theta\)
  • (iv) Local independence: \(X_i\perp X_j|\Theta\)

Local independence = absence of LD

  • technical assumption not as intuitive as (i)-(iii)

LD

Intuition

  • Those with a low level of \(\theta\) will tend to score low on all items
  • Those with a high level of \(\theta\) will tend to score high on all items
  • Items are correlated because they all depend on \(\theta\)
  • It is relatively new to think about local dependence in terms of response dependence.

History

Lord (1980, section 2.4):

  • “local independence ..

Heinen (1996, p.7):

  • “.. literature on latent trait models ..

History

Lord (1980, section 2.4):

  • “local independence .. follows automatically from unidimensionality. It is not an additional assumption”

Heinen (1996, p.7):

  • “.. literature on latent trait models .. inclined to define local independence as a special case of unidimensionality”

History

Lord (1980, section 2.4):

  • “local independence .. follows automatically from unidimensionality. It is not an additional assumption”

Heinen (1996, p.7):

  • “.. literature on latent trait models .. inclined to define local independence as a special case of unidimensionality”
Lord, F. M. (1980). Applications of Item Response Theory to Practical Testing Problems. Erlbaum Associates.
Heinen, T. (1996). Latent class and discrete latent trait models: Similarities and differences. Thousand Oaks, CA: Sage. 

Similar to DIF

Looking at the graph

it reminds us of the test for DIF.

Similar to DIF

So if we forget for a moment that \(X_4\) is an item and think of it as an exogenous variable like gender we can handle this as a DIF problem. Then the score is \[ R_4=X_1+X_2+X_3 \] and we test conditional independence \[ X_3\perp X_4|R_4 \]

Similar to DIF

Similar argument where \(X_3\) and \(X_4\) switch places tells us that computing the rest score \(R_3=X_1+X_2+X_4\) and testing

\[ X_3\perp X_4|R_3 \]